导读:具有单相面心立方结构的高熵合金(HEA)具有优异的塑性,但强度普遍较低。沉淀强化是提高合金强度最有前景的方法之一。然而,强度-延展性的制约经常限制合金性能的改善。为了克服这个问题,课题组通过引入新型双功能L12-Ni3Nb纳米相,开发了一种具有优异强度和延展性协同作用的新型 Ni35(CoFe)55V5Nb5 HEA。这种HEA具有855 MPa 的高屈服强度、1302 MPa 的极限抗拉强度和约50%的高延伸率。第一性原理计算表明,L12结构的(Ni24Co18Fe6)3(Nb10V4Fe2)纳米相比D022结构的形成能低。新型纳米相提供了双重功能。一方面,L12-(Ni24Co18Fe6)3(Nb10V4Fe2)纳米相具有较高的反相畴界能,通过沉淀强化有助于显著提高屈服强度。更重要的是,沉淀相的析出降低了合金基体的层错能(SFE),通过在变形过程中激活层错网格和Lomer-Cottrell锁的连续形成,有助于获得优异的加工硬化能力和大塑性。该研究受到国家重点研发计划、中核集团青年英才计划菁英项目、国家自然科学基金等项目支持。论文由MK体育张中武教授团队联合中国核动力研究设计院、香港理工大学、香港城市大学和美国田纳西大学共同完成。研究成果发表在《International Journal of Plasticity》,该期刊是力学和机械工程领域高水平期刊。MK体育在读博士生刘力源为第一作者,张洋副教授和张中武教授为共同通讯作者。
论文链接:https://doi.org/10.1016/j.ijplas.2022.103235

对于大多数金属来说,通常存在强度-延展性间的相互制约,增加强度会导致延展性的下降。沉淀强化是增强HEA强度的最有潜力的方法之一。沉淀相可以作为位错滑移路径上的障碍物,阻碍位错滑移以提高强度。在高温合金中广泛应用的传统L12-Ni3(Al,Ti)和D022-Ni3Nb纳米沉淀相已成功引入HEAs中以改善其力学性能。虽然D022沉淀相因其较高的晶格失配度和反相畴界能的原因而表现出优于L12沉淀相的强化效果,但对塑性的负面影响更为严重。L12沉淀相的强化效果较温和,但总的来说,由于其与FCC基体的共格关系,将有助于保持较好的塑性。如果通过L12沉淀相来提高强度,则需要更高的体积分数。高的体积分数又会带来其他负面影响,例如,增加L12沉淀相的组成元素的浓度可能会增加形成脆性金属间化合物的风险或导致其他加工问题。此外,L12或D022沉淀相的尺寸通常比较大(几十到几百纳米),这也会使塑性变差。
合金的许多塑性变形机制取决于SFE,包括位错滑移、孪生诱导塑性(TWIP)和相变诱导塑性(TRIP)等。这提供了通过成分设计来调整合金的SFE进而控制变形机制的机会。对于低SFE的FCC结构合金,其变形机制更倾向于形成堆垛层错、孪晶甚至相变。相反,在高 SFE条件下更容易发生微带和位错滑移。因此,一般很难同时实现高强度和大塑性。添加更多低SFE形成元素意味着更少的沉淀相的形成,导致塑性大但强度低。
本文的策略是通过设计和调控双功能纳米相析出,降低SFE促发变形机制转变以增强塑性,同时保持沉淀相强化效果。不同于广泛使用的L12-Ni3(Al,Ti)和D022-Ni3Nb纳米沉淀相,这种新型的Ni3Nb纳米相中由于部分Ni原子被Co和Fe取代/部分Nb原子被V和Fe取代,导致L12结构的(Ni24Co18Fe6)3(Nb10V4Fe2)沉淀相形成能低于D022-Ni3Nb,最终形成L12结构的Ni3Nb型纳米相。该沉淀相具有双重功能,一方面,L12-Ni3Nb纳米相具有较高的反相畴界能,通过沉淀强化显著提高屈服强度。另一方面,沉淀相的析出降低了合金基体的SFE,在变形过程中激发层错网格和Lomer-Cottrell锁的连续形成,使合金获得优异的加工硬化能力和大塑性。这种双功能纳米相的设计和通过HEA基体中的溶质沉淀调节SFE可拓展应用于其他合金体系中。

图 1. 力学性能和断口形貌。固溶(SS)和时效(AG)样品在室温下的代表性拉伸工程应力-应变曲线,以及相应的断口形貌。

图 2. SS和AG的相组成和微观结构。(a) SS和AG样品的XRD图谱。(b)和(c)分别为SS和AG样品的EBSD图像。(d)和(e) SS和AG样品的晶粒大小分布。

图 3.纳米相的结构。(a)明场和(b)暗场图像显示纳米相在基体中均匀分布。(c)沿[001]、[011]和[112]衍射轴的选区衍射图像,证明纳米相具有 L12结构。(d) HRTEM 图像。(e) FFT图像证实了(d)中沉淀相和基体的晶体结构。(f) 显示沉淀相和基体之间界面关系的原子排列图。(g)沿(d)中紫色箭头标记的强度分布,表示两相中原子层的排列。

图 4. 纳米相的形貌、组成和体积分数。(a) Ni、Co、Fe、Nb和V的APT元素分布图。(b)基体和L12相界面的成分分布图。(c)通过杠杆定理计算沉淀相的体积分数。

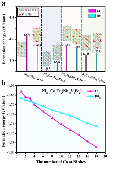
图 5. 不同成分的L12-和D022-Ni3Nb结构的形成能。模型1-3显示了A3B型L12和 D022结构的形成能, 其中2 at.% Fe或Co占据B亚晶格。模型4和5展示了不同晶体结构(L12和D022)对Ni3Nb形成能的影响。

图 6. 应力加载后SS和AG的显微组织变化。(a-b) SS和AG样品分别在拉伸试验前的明场图像。(c-d) SS和AG样品在拉伸试验后的明场图像,分别显示SS和 AG样品中的位错和SF特征。(e-f) SF的暗场和选区衍射图像。(g) AG样品在拉伸试验后的暗场图像,显示了不同观察角度下的SF。(h) AG样品在拉伸试验后的暗场图像,显示{111}滑移系统上的相交SF。(i) 来自(h)的明场图像显示LC锁是在SF网格的交汇处形成的。(j)来自(i)的HRTEM图像,表示相交的SF网格(白色虚线)和LC锁(红点)。(k)来自(j)的FFT图像,显示了相交SF的存在。(l)代表性的 SF的放大图,展示了BCABABCA的堆叠顺序。

图 7. 成分对纳米相晶体结构的影响。(a) L12-Ni3Nb和D022-Ni3Nb结构的形成能与各种原子取代A或B位点的比较。(b) Co含量对L12-Ni3Nb和D022-Ni3Nb形成能的影响。

图8.Ashby图显示了新型纳米相的优势,以及新型HEA与其他高性能合金的屈服强度和塑性的比较。(a) L12-Ni3Nb与L12-Ni3Al、D022-Ni3Nb和碳化物在提高合金屈服强度和塑性变化率的结果比较。(b) AG试样和其他高性能合金的屈服强度和和塑性间的比较。
审核:王君
